Lange Zeit bildeten nur nachkommengeprüfte und gleichzeitig genotypisierte Besamungsbullen die
Lernstichprobe als Basis der genomischen Zuchtwertschätzung. Um neue Merkmale zügig in die Zuchtwertschätzung integrieren zu
können, werden zunehmend weibliche Tiere genotypisiert und gehen mit ihren Eigenleistungen in die Zuchtwertschätzung ein, sie
bilden die weibliche Lernstichprobe. An diesen Kühen und Bullen wird das System der genomischen Zuchtwertschätzung geeicht, so
dass auch für junge Tiere, die nur über eine Genotypeninformation, aber noch nicht über eigene Phänotypen (Ergebnisse
aus der Leistungsprüfung) verfügen, schon sichere Zuchtwerte berechnet werden können.
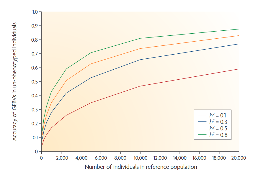
Je mehr Tiere in die Lernstichprobe eingehen, desto größer ist folglich auch die Datenmenge. Im Allgemeinen gilt, dass eine größere Datenmenge ein sichereres Ergebnis ergibt. Denn die Ausreißer einer Population haben keinen so starken Einfluss mehr auf das Gesamtergebnis. Dies kann man in der graphischen Darstellung von Goddard und Hayes sehen. Wenn die Heritabilität eines Merkmals bei 10 % liegt und die Lernstichprobe 2.000 Tiere umfasst, haben die genomischen Zuchtwerte eine Sicherheit von 22 %. Wenn man nun eine Lernstichprobe mit 10.000 Tieren nimmt, steigt die Sicherheit für das gleiche Merkmal auf 46 % an.

Abbildung aus Goddard, M. E. und Hayes, B. J. (2009): Mapping genes for complex traits in domestic animals and their use in breeding programmes, Nature Reviews Genetics, Volume 10, Seiten 381–391.
Basiert die Lernstichprobe nur auf genotypisierten und nachkommengeprüften Bullen,
so werden ca. 10.000 möglichst unverwandte Bullen benötigt, um ein Zuchtwertschätzverfahren für ein neues Merkmal
entwickeln zu können. Da es deutlich mehr Kühe gibt, kann mittels genotypisierten und eigenleistungsgeprüften Kühen, ein solches Zuchtwertschätzverfahren sehr viel
schneller entwickelt werden. Etwa zehn eigenleistungsgeprüfte Kühe in der Lernstichprobe ergeben die gleiche Sicherheit in der
Zuchtwertschätzung wie ein nachkommengeprüfter Bulle.